Premiers pas avec le calcul GPU sur le Web

Cet article explore l'API WebGPU expérimentale à travers des exemples et vous aide à effectuer des calculs parallèles aux données à l'aide du GPU.

François Beaufort
François Beaufort

Date de publication : 28 août 2019, Dernière mise à jour : 12 août 2025

Arrière-plan

Comme vous le savez peut-être déjà, le processeur graphique (GPU) est un sous-système électronique d'un ordinateur qui était à l'origine spécialisé dans le traitement des graphiques. Toutefois, au cours des 10 dernières années, il a évolué vers une architecture plus flexible permettant aux développeurs d'implémenter de nombreux types d'algorithmes, et pas seulement le rendu de graphiques 3D, tout en tirant parti de l'architecture unique du GPU. Ces capacités sont appelées "GPU Compute", et l'utilisation d'un GPU comme coprocesseur pour le calcul scientifique à usage général est appelée programmation GPU à usage général (GPGPU).

Le calcul GPU a contribué de manière significative au récent essor du machine learning, car les réseaux neuronaux convolutifs et d'autres modèles peuvent tirer parti de l'architecture pour s'exécuter plus efficacement sur les GPU. Étant donné que la plate-forme Web actuelle manque de capacités de calcul GPU, le groupe communautaire "GPU for the Web" du W3C conçoit une API pour exposer les API GPU modernes disponibles sur la plupart des appareils actuels. Cette API s'appelle WebGPU.

WebGPU est une API de bas niveau, comme WebGL. Il est très puissant et assez verbeux, comme vous le verrez. Mais ce n'est pas grave. Nous recherchons des performances.

Dans cet article, je vais me concentrer sur la partie GPU Compute de WebGPU. Pour être honnête, je ne fais qu'effleurer le sujet pour que vous puissiez commencer à jouer par vous-même. J'approfondirai le rendu WebGPU (canvas, texture, etc.) dans de prochains articles.

Accéder au GPU

Dans WebGPU, il est facile d'accéder au GPU. L'appel de navigator.gpu.requestAdapter() renvoie une promesse JavaScript qui sera résolue de manière asynchrone avec un adaptateur GPU. Considérez cet adaptateur comme la carte graphique. Il peut être intégré (sur la même puce que le processeur) ou discret (généralement une carte PCIe plus performante, mais qui consomme plus d'énergie).

Une fois que vous disposez de l'adaptateur GPU, appelez adapter.requestDevice() pour obtenir une promesse qui sera résolue avec un appareil GPU que vous utiliserez pour effectuer des calculs GPU.

const adapter = await navigator.gpu.requestAdapter();
if (!adapter) { return; }
const device = await adapter.requestDevice();

Les deux fonctions acceptent des options qui vous permettent de spécifier le type d'adaptateur (préférence d'alimentation) et d'appareil (extensions, limites) que vous souhaitez. Par souci de simplicité, nous utiliserons les options par défaut dans cet article.

Mémoire tampon d'écriture

Voyons comment utiliser JavaScript pour écrire des données dans la mémoire du GPU. Ce processus n'est pas simple en raison du modèle de bac à sable utilisé dans les navigateurs Web modernes.

L'exemple ci-dessous montre comment écrire quatre octets dans la mémoire tampon accessible depuis le GPU. Il appelle device.createBuffer(), qui prend en compte la taille du tampon et son utilisation. Même si l'indicateur d'utilisation GPUBufferUsage.MAP_WRITE n'est pas requis pour cet appel spécifique, indiquons explicitement que nous souhaitons écrire dans ce tampon. Il en résulte un objet de tampon GPU mappé lors de la création grâce à mappedAtCreation défini sur "true". Le tampon de données binaires brutes associé peut ensuite être récupéré en appelant la méthode de tampon GPU getMappedRange().

L'écriture d'octets est familière si vous avez déjà joué avec ArrayBuffer : utilisez un TypedArray et copiez-y les valeurs.

// Get a GPU buffer in a mapped state and an arrayBuffer for writing.
const gpuBuffer = device.createBuffer({
  mappedAtCreation: true,
  size: 4,
  usage: GPUBufferUsage.MAP_WRITE
});
const arrayBuffer = gpuBuffer.getMappedRange();

// Write bytes to buffer.
new Uint8Array(arrayBuffer).set([0, 1, 2, 3]);

À ce stade, le tampon GPU est mappé, ce qui signifie qu'il appartient au processeur et qu'il est accessible en lecture/écriture depuis JavaScript. Pour que le GPU puisse y accéder, il doit être non mappé. Pour cela, il suffit d'appeler gpuBuffer.unmap().

Le concept de mémoire mappée/non mappée est nécessaire pour éviter les conditions de concurrence dans lesquelles le GPU et le processeur accèdent à la mémoire en même temps.

Lire la mémoire tampon

Voyons maintenant comment copier un tampon GPU dans un autre tampon GPU et le relire.

Étant donné que nous écrivons dans le premier tampon GPU et que nous voulons le copier dans un deuxième tampon GPU, un nouvel indicateur d'utilisation GPUBufferUsage.COPY_SRC est requis. Le deuxième tampon GPU est créé dans un état non mappé cette fois avec device.createBuffer(). Son indicateur d'utilisation est GPUBufferUsage.COPY_DST | GPUBufferUsage.MAP_READ, car il sera utilisé comme destination du premier tampon GPU et lu en JavaScript une fois les commandes de copie GPU exécutées.

// Get a GPU buffer in a mapped state and an arrayBuffer for writing.
const gpuWriteBuffer = device.createBuffer({
  mappedAtCreation: true,
  size: 4,
  usage: GPUBufferUsage.MAP_WRITE | GPUBufferUsage.COPY_SRC
});
const arrayBuffer = gpuWriteBuffer.getMappedRange();

// Write bytes to buffer.
new Uint8Array(arrayBuffer).set([0, 1, 2, 3]);

// Unmap buffer so that it can be used later for copy.
gpuWriteBuffer.unmap();

// Get a GPU buffer for reading in an unmapped state.
const gpuReadBuffer = device.createBuffer({
  size: 4,
  usage: GPUBufferUsage.COPY_DST | GPUBufferUsage.MAP_READ
});

Étant donné que le GPU est un coprocesseur indépendant, toutes les commandes GPU sont exécutées de manière asynchrone. C'est pourquoi une liste de commandes GPU est constituée et envoyée par lots si nécessaire. Dans WebGPU, l'encodeur de commandes GPU renvoyé par device.createCommandEncoder() est l'objet JavaScript qui crée un lot de commandes "mises en mémoire tampon" qui seront envoyées au GPU à un moment donné. Les méthodes sur GPUBuffer, en revanche, ne sont pas mises en mémoire tampon, ce qui signifie qu'elles s'exécutent de manière atomique au moment où elles sont appelées.

Une fois que vous avez l'encodeur de commandes GPU, appelez copyEncoder.copyBufferToBuffer() comme indiqué ci-dessous pour ajouter cette commande à la file d'attente des commandes en vue d'une exécution ultérieure. Enfin, terminez les commandes d'encodage en appelant copyEncoder.finish() et envoyez-les à la file d'attente des commandes du périphérique GPU. La file d'attente est chargée de gérer les envois effectués via device.queue.submit() avec les commandes GPU comme arguments. Cela exécutera de manière atomique toutes les commandes stockées dans le tableau dans l'ordre.

// Encode commands for copying buffer to buffer.
const copyEncoder = device.createCommandEncoder();
copyEncoder.copyBufferToBuffer(gpuWriteBuffer, gpuReadBuffer);

// Submit copy commands.
const copyCommands = copyEncoder.finish();
device.queue.submit([copyCommands]);

À ce stade, les commandes de file d'attente GPU ont été envoyées, mais pas nécessairement exécutées. Pour lire le deuxième tampon GPU, appelez gpuReadBuffer.mapAsync() avec GPUMapMode.READ. Elle renvoie une promesse qui sera résolue lorsque le tampon GPU sera mappé. Obtenez ensuite la plage mappée avec gpuReadBuffer.getMappedRange() qui contient les mêmes valeurs que le premier tampon GPU une fois que toutes les commandes GPU mises en file d'attente ont été exécutées.

// Read buffer.
await gpuReadBuffer.mapAsync(GPUMapMode.READ);
const copyArrayBuffer = gpuReadBuffer.getMappedRange();
console.log(new Uint8Array(copyArrayBuffer));

Vous pouvez essayer cet exemple.

En résumé, voici ce que vous devez retenir concernant les opérations de mémoire tampon :

  • Les tampons GPU doivent être démappés pour être utilisés dans la file d'attente de l'appareil.
  • Une fois mappés, les tampons GPU peuvent être lus et écrits en JavaScript.
  • Les tampons GPU sont mappés lorsque mapAsync() et createBuffer() avec mappedAtCreation défini sur "true" sont appelés.

Programmation de nuanceurs

Les programmes exécutés sur le GPU qui n'effectuent que des calculs (et ne dessinent pas de triangles) sont appelés shaders de calcul. Elles sont exécutées en parallèle par des centaines de cœurs de GPU (plus petits que les cœurs de CPU) qui fonctionnent ensemble pour traiter les données. Leurs entrées et sorties sont des tampons dans WebGPU.

Pour illustrer l'utilisation des nuanceurs de calcul dans WebGPU, nous allons jouer avec la multiplication matricielle, un algorithme courant dans le machine learning, illustré ci-dessous.

Diagramme de multiplication matricielle
Diagramme de multiplication matricielle

Voici un résumé des actions que nous allons mener :

  1. Créez trois tampons GPU (deux pour les matrices à multiplier et un pour la matrice de résultat).
  2. Décrire les entrées et les sorties du nuanceur de calcul
  3. Compiler le code du nuanceur de calcul
  4. Configurer un pipeline de calcul
  5. Envoyez par lot les commandes encodées au GPU.
  6. Lire le tampon GPU de la matrice de résultats

Création de tampons GPU

Par souci de simplicité, les matrices seront représentées sous la forme d'une liste de nombres à virgule flottante. Le premier élément correspond au nombre de lignes, le deuxième au nombre de colonnes et le reste aux nombres réels de la matrice.

Représentation simple d'une matrice en JavaScript et son équivalent en notation mathématique
Représentation simple d'une matrice en JavaScript et son équivalent en notation mathématique

Les trois tampons GPU sont des tampons de stockage, car nous devons stocker et récupérer des données dans le nuanceur de calcul. Cela explique pourquoi les indicateurs d'utilisation de la mémoire tampon GPU incluent GPUBufferUsage.STORAGE pour chacun d'eux. L'indicateur d'utilisation de la matrice de résultats comporte également GPUBufferUsage.COPY_SRC, car il sera copié dans un autre tampon pour la lecture une fois que toutes les commandes de file d'attente du GPU auront été exécutées.

const adapter = await navigator.gpu.requestAdapter();
if (!adapter) { return; }
const device = await adapter.requestDevice();


// First Matrix

const firstMatrix = new Float32Array([
  2 /* rows */, 4 /* columns */,
  1, 2, 3, 4,
  5, 6, 7, 8
]);

const gpuBufferFirstMatrix = device.createBuffer({
  mappedAtCreation: true,
  size: firstMatrix.byteLength,
  usage: GPUBufferUsage.STORAGE,
});
const arrayBufferFirstMatrix = gpuBufferFirstMatrix.getMappedRange();
new Float32Array(arrayBufferFirstMatrix).set(firstMatrix);
gpuBufferFirstMatrix.unmap();


// Second Matrix

const secondMatrix = new Float32Array([
  4 /* rows */, 2 /* columns */,
  1, 2,
  3, 4,
  5, 6,
  7, 8
]);

const gpuBufferSecondMatrix = device.createBuffer({
  mappedAtCreation: true,
  size: secondMatrix.byteLength,
  usage: GPUBufferUsage.STORAGE,
});
const arrayBufferSecondMatrix = gpuBufferSecondMatrix.getMappedRange();
new Float32Array(arrayBufferSecondMatrix).set(secondMatrix);
gpuBufferSecondMatrix.unmap();


// Result Matrix

const resultMatrixBufferSize = Float32Array.BYTES_PER_ELEMENT * (2 + firstMatrix[0] * secondMatrix[1]);
const resultMatrixBuffer = device.createBuffer({
  size: resultMatrixBufferSize,
  usage: GPUBufferUsage.STORAGE | GPUBufferUsage.COPY_SRC
});

Mise en forme du groupe de liaisons et groupe de liaisons

Les concepts de mise en page et de groupe de liaison sont spécifiques à WebGPU. Une mise en page de groupe de liaison définit l'interface d'entrée/sortie attendue par un nuanceur, tandis qu'un groupe de liaison représente les données d'entrée/sortie réelles pour un nuanceur.

Dans l'exemple ci-dessous, la mise en page du groupe de liaison attend deux tampons de stockage en lecture seule aux liaisons d'entrée numérotées 0 et 1, ainsi qu'un tampon de stockage à 2 pour le nuanceur de calcul. Le groupe de liaison, défini pour cette mise en page de groupe de liaison, associe les tampons GPU aux entrées : gpuBufferFirstMatrix à la liaison 0, gpuBufferSecondMatrix à la liaison 1 et resultMatrixBuffer à la liaison 2.

const bindGroupLayout = device.createBindGroupLayout({
  entries: [
    {
      binding: 0,
      visibility: GPUShaderStage.COMPUTE,
      buffer: {
        type: "read-only-storage"
      }
    },
    {
      binding: 1,
      visibility: GPUShaderStage.COMPUTE,
      buffer: {
        type: "read-only-storage"
      }
    },
    {
      binding: 2,
      visibility: GPUShaderStage.COMPUTE,
      buffer: {
        type: "storage"
      }
    }
  ]
});

const bindGroup = device.createBindGroup({
  layout: bindGroupLayout,
  entries: [
    {
      binding: 0,
      resource: gpuBufferFirstMatrix
    },
    {
      binding: 1,
      resource: gpuBufferSecondMatrix
    },
    {
      binding: 2,
      resource: resultMatrixBuffer
    }
  ]
});

Code du nuanceur de calcul

Le code du nuanceur de calcul pour la multiplication de matrices est écrit en WGSL, le langage de nuanceur WebGPU, qui est facilement traduisible en SPIR-V. Sans entrer dans les détails, vous trouverez ci-dessous les trois tampons de stockage identifiés avec var<storage>. Le programme utilisera firstMatrix et secondMatrix comme entrées et resultMatrix comme sortie.

Notez que chaque tampon de stockage possède une décoration binding utilisée qui correspond au même index défini dans les mises en page et les groupes de liaisons déclarés ci-dessus.

const shaderModule = device.createShaderModule({
  code: `
    struct Matrix {
      size : vec2f,
      numbers: array<f32>,
    }

    @group(0) @binding(0) var<storage, read> firstMatrix : Matrix;
    @group(0) @binding(1) var<storage, read> secondMatrix : Matrix;
    @group(0) @binding(2) var<storage, read_write> resultMatrix : Matrix;

    @compute @workgroup_size(8, 8)
    fn main(@builtin(global_invocation_id) global_id : vec3u) {
      // Guard against out-of-bounds work group sizes
      if (global_id.x >= u32(firstMatrix.size.x) || global_id.y >= u32(secondMatrix.size.y)) {
        return;
      }

      resultMatrix.size = vec2(firstMatrix.size.x, secondMatrix.size.y);

      let resultCell = vec2(global_id.x, global_id.y);
      var result = 0.0;
      for (var i = 0u; i < u32(firstMatrix.size.y); i = i + 1u) {
        let a = i + resultCell.x * u32(firstMatrix.size.y);
        let b = resultCell.y + i * u32(secondMatrix.size.y);
        result = result + firstMatrix.numbers[a] * secondMatrix.numbers[b];
      }

      let index = resultCell.y + resultCell.x * u32(secondMatrix.size.y);
      resultMatrix.numbers[index] = result;
    }
  `
});

Configuration du pipeline

Le pipeline de calcul est l'objet qui décrit réellement l'opération de calcul que nous allons effectuer. Créez-le en appelant device.createComputePipeline(). Il prend deux arguments : la mise en page du groupe de liaison que nous avons créée précédemment, et une étape de calcul définissant le point d'entrée de notre nuanceur de calcul (la fonction WGSL main) et le module de nuanceur de calcul réel créé avec device.createShaderModule().

const computePipeline = device.createComputePipeline({
  layout: device.createPipelineLayout({
    bindGroupLayouts: [bindGroupLayout]
  }),
  compute: {
    module: shaderModule
  }
});

Envoi de commandes

Après avoir instancié un groupe de liaisons avec nos trois tampons GPU et un pipeline de calcul avec une mise en page de groupe de liaisons, il est temps de les utiliser.

Commençons par créer un encodeur de pass de calcul programmable avec commandEncoder.beginComputePass(). Nous l'utiliserons pour encoder les commandes GPU qui effectueront la multiplication matricielle. Définissez son pipeline avec passEncoder.setPipeline(computePipeline) et son groupe de liaison à l'index 0 avec passEncoder.setBindGroup(0, bindGroup). L'index 0 correspond à la décoration group(0) dans le code WGSL.

Voyons maintenant comment ce nuanceur de calcul va s'exécuter sur le GPU. Notre objectif est d'exécuter ce programme en parallèle pour chaque cellule de la matrice de résultats, étape par étape. Par exemple, pour une matrice de résultats de taille 16 x 32, afin d'encoder la commande d'exécution sur un @workgroup_size(8, 8), nous appellerions passEncoder.dispatchWorkgroups(2, 4) ou passEncoder.dispatchWorkgroups(16 / 8, 32 / 8). Le premier argument "x" correspond à la première dimension, le deuxième "y" à la deuxième dimension et le dernier "z" à la troisième dimension, qui est définie par défaut sur 1, car nous n'en avons pas besoin ici. Dans le monde du calcul GPU, l'encodage d'une commande pour exécuter une fonction de noyau sur un ensemble de données est appelé "dispatching".

Exécution en parallèle pour chaque cellule de la matrice de résultats
Exécution en parallèle pour chaque cellule de la matrice de résultats

La taille de la grille du groupe de travail pour notre nuanceur de calcul est (8, 8) dans notre code WGSL. Par conséquent, "x" et "y", qui représentent respectivement le nombre de lignes de la première matrice et le nombre de colonnes de la deuxième matrice, seront divisés par 8. Nous pouvons maintenant envoyer un appel de calcul avec passEncoder.dispatchWorkgroups(firstMatrix[0] / 8, secondMatrix[1] / 8). Le nombre de grilles de groupe de travail à exécuter correspond aux arguments dispatchWorkgroups().

Comme le montre le schéma ci-dessus, chaque nuanceur aura accès à un objet builtin(global_invocation_id) unique qui sera utilisé pour savoir quelle cellule de la matrice de résultats calculer.

const commandEncoder = device.createCommandEncoder();

const passEncoder = commandEncoder.beginComputePass();
passEncoder.setPipeline(computePipeline);
passEncoder.setBindGroup(0, bindGroup);
const workgroupCountX = Math.ceil(firstMatrix[0] / 8);
const workgroupCountY = Math.ceil(secondMatrix[1] / 8);
passEncoder.dispatchWorkgroups(workgroupCountX, workgroupCountY);
passEncoder.end();

Pour mettre fin à l'encodeur de pass de calcul, appelez passEncoder.end(). Créez ensuite un tampon GPU à utiliser comme destination pour copier le tampon de matrice de résultats avec copyBufferToBuffer. Enfin, terminez les commandes d'encodage avec copyEncoder.finish() et envoyez-les à la file d'attente des périphériques GPU en appelant device.queue.submit() avec les commandes GPU.

// Get a GPU buffer for reading in an unmapped state.
const gpuReadBuffer = device.createBuffer({
  size: resultMatrixBufferSize,
  usage: GPUBufferUsage.COPY_DST | GPUBufferUsage.MAP_READ
});

// Encode commands for copying buffer to buffer.
commandEncoder.copyBufferToBuffer(resultMatrixBuffer, gpuReadBuffer);

// Submit GPU commands.
const gpuCommands = commandEncoder.finish();
device.queue.submit([gpuCommands]);

Lire la matrice de résultats

Pour lire la matrice de résultats, il suffit d'appeler gpuReadBuffer.mapAsync() avec GPUMapMode.READ et d'attendre que la promesse renvoyée soit résolue, ce qui indique que le tampon GPU est désormais mappé. À ce stade, il est possible d'obtenir la plage mappée avec gpuReadBuffer.getMappedRange().

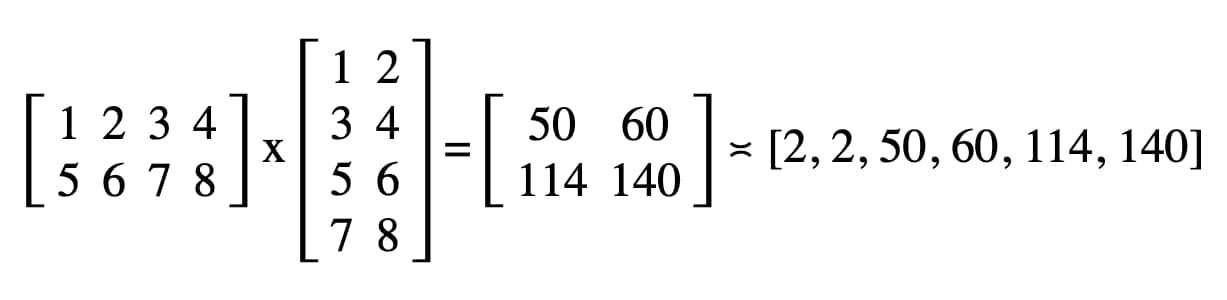
Résultat de la multiplication matricielle
Résultat de la multiplication matricielle

Dans notre code, le résultat consigné dans la console JavaScript des outils de développement est "2, 2, 50, 60, 114, 140".

// Read buffer.
await gpuReadBuffer.mapAsync(GPUMapMode.READ);
const arrayBuffer = gpuReadBuffer.getMappedRange();
console.log(new Float32Array(arrayBuffer));

Félicitations ! C'est fait ! Vous pouvez jouer avec l'échantillon.

Une dernière astuce

Pour rendre votre code plus facile à lire, vous pouvez utiliser la méthode pratique getBindGroupLayout du pipeline de calcul pour inférer la mise en page du groupe de liaison à partir du module de nuanceur. Cette astuce vous évite de créer une mise en forme de groupe de liaisons personnalisée et de spécifier une mise en forme de pipeline dans votre pipeline de calcul, comme vous pouvez le voir ci-dessous.

Une illustration de getBindGroupLayout pour l'exemple précédent est disponible.

 const computePipeline = device.createComputePipeline({
-  layout: device.createPipelineLayout({
-    bindGroupLayouts: [bindGroupLayout]
-  }),
   compute: {
-// Bind group layout and bind group
- const bindGroupLayout = device.createBindGroupLayout({
-   entries: [
-     {
-       binding: 0,
-       visibility: GPUShaderStage.COMPUTE,
-       buffer: {
-         type: "read-only-storage"
-       }
-     },
-     {
-       binding: 1,
-       visibility: GPUShaderStage.COMPUTE,
-       buffer: {
-         type: "read-only-storage"
-       }
-     },
-     {
-       binding: 2,
-       visibility: GPUShaderStage.COMPUTE,
-       buffer: {
-         type: "storage"
-       }
-     }
-   ]
- });
+// Bind group
  const bindGroup = device.createBindGroup({
-  layout: bindGroupLayout,
+  layout: computePipeline.getBindGroupLayout(0 /* index */),
   entries: [

Résultats de performances

Alors, quelle est la différence entre l'exécution de la multiplication matricielle sur un GPU et sur un CPU ? Pour le savoir, j'ai écrit le programme que je viens de décrire pour un CPU. Comme vous pouvez le voir dans le graphique ci-dessous, l'utilisation de toute la puissance du GPU semble être un choix évident lorsque la taille des matrices est supérieure à 256 x 256.

Comparaison des performances du GPU et du CPU
Comparaison des performances entre GPU et CPU

Cet article n'était que le début de mon parcours de découverte de WebGPU. D'autres articles seront bientôt disponibles. Ils présenteront des analyses plus approfondies sur le calcul GPU et sur le fonctionnement du rendu (canvas, texture, échantillonneur) dans WebGPU.