This post explores the experimental WebGPU API through examples and helps you get started with performing data-parallel computations using the GPU.
Published: Aug 28, 2019, Last updated: Aug 12, 2025
Background
As you may already know, the Graphic Processing Unit (GPU) is an electronic subsystem within a computer that was originally specialized for processing graphics. However, in the past 10 years, it has evolved towards a more flexible architecture allowing developers to implement many types of algorithms, not just render 3D graphics, while taking advantage of the unique architecture of the GPU. These capabilities are referred to as GPU Compute, and using a GPU as a coprocessor for general-purpose scientific computing is called general-purpose GPU (GPGPU) programming.
GPU Compute has contributed significantly to the recent machine learning boom, as convolution neural networks and other models can take advantage of the architecture to run more efficiently on GPUs. With the current Web Platform lacking in GPU Compute capabilities, the W3C's "GPU for the Web" Community Group is designing an API to expose the modern GPU APIs that are available on most current devices. This API is called WebGPU.
WebGPU is a low-level API, like WebGL. It is very powerful and quite verbose, as you'll see. But that's OK. What we're looking for is performance.
In this article, I'm going to focus on the GPU Compute part of WebGPU and, to be honest, I'm just scratching the surface, so that you can start playing on your own. I will be diving deeper and covering WebGPU rendering (canvas, texture, etc.) in forthcoming articles.
Access the GPU
Accessing the GPU is easy in WebGPU. Calling navigator.gpu.requestAdapter()
returns a JavaScript promise that will asynchronously resolve with a GPU
adapter. Think of this adapter as the graphics card. It can either be integrated
(on the same chip as the CPU) or discrete (usually a PCIe card that is more
performant but uses more power).
Once you have the GPU adapter, call adapter.requestDevice() to get a promise
that will resolve with a GPU device you'll use to do some GPU computation.
const adapter = await navigator.gpu.requestAdapter();
if (!adapter) { return; }
const device = await adapter.requestDevice();
Both functions take options that allow you to be specific about the kind of adapter (power preference) and device (extensions, limits) you want. For the sake of simplicity, we'll use the default options in this article.
Write buffer memory
Let's see how to use JavaScript to write data to memory for the GPU. This process isn't straightforward because of the sandboxing model used in modern web browsers.
The example below shows you how to write four bytes to buffer memory accessible
from the GPU. It calls device.createBuffer() which takes the size of the
buffer and its usage. Even though the usage flag GPUBufferUsage.MAP_WRITE is
not required for this specific call, let's be explicit that we want to write
to this buffer. It results in a GPU buffer object mapped at creation thanks to
mappedAtCreation set to true. Then the associated raw binary data buffer can
be retrieved by calling the GPU buffer method getMappedRange().
Writing bytes is familiar if you've already played with ArrayBuffer; use a
TypedArray and copy the values into it.
// Get a GPU buffer in a mapped state and an arrayBuffer for writing.
const gpuBuffer = device.createBuffer({
mappedAtCreation: true,
size: 4,
usage: GPUBufferUsage.MAP_WRITE
});
const arrayBuffer = gpuBuffer.getMappedRange();
// Write bytes to buffer.
new Uint8Array(arrayBuffer).set([0, 1, 2, 3]);
At this point, the GPU buffer is mapped, meaning it is owned by the CPU, and
it's accessible in read/write from JavaScript. So that the GPU can access it, it
has to be unmapped which is as simple as calling gpuBuffer.unmap().
The concept of mapped/unmapped is needed to prevent race conditions where GPU and CPU access memory at the same time.
Read buffer memory
Now let's see how to copy a GPU buffer to another GPU buffer and read it back.
Since we're writing in the first GPU buffer and we want to copy it to a second
GPU buffer, a new usage flag GPUBufferUsage.COPY_SRC is required. The second
GPU buffer is created in an unmapped state this time with
device.createBuffer(). Its usage flag is GPUBufferUsage.COPY_DST |
GPUBufferUsage.MAP_READ as it will be used as the destination of the first GPU
buffer and read in JavaScript once GPU copy commands have been executed.
// Get a GPU buffer in a mapped state and an arrayBuffer for writing.
const gpuWriteBuffer = device.createBuffer({
mappedAtCreation: true,
size: 4,
usage: GPUBufferUsage.MAP_WRITE | GPUBufferUsage.COPY_SRC
});
const arrayBuffer = gpuWriteBuffer.getMappedRange();
// Write bytes to buffer.
new Uint8Array(arrayBuffer).set([0, 1, 2, 3]);
// Unmap buffer so that it can be used later for copy.
gpuWriteBuffer.unmap();
// Get a GPU buffer for reading in an unmapped state.
const gpuReadBuffer = device.createBuffer({
size: 4,
usage: GPUBufferUsage.COPY_DST | GPUBufferUsage.MAP_READ
});
Because the GPU is an independent coprocessor, all GPU commands are executed
asynchronously. This is why there is a list of GPU commands built up and sent in
batches when needed. In WebGPU, the GPU command encoder returned by
device.createCommandEncoder()is the JavaScript object that builds a batch of
"buffered" commands that will be sent to the GPU at some point. The methods on
GPUBuffer, on the other hand, are "unbuffered", meaning they execute atomically
at the time they are called.
Once you have the GPU command encoder, call copyEncoder.copyBufferToBuffer()
as shown below to add this command to the command queue for later execution.
Finally, finish encoding commands by calling copyEncoder.finish() and submit
those to the GPU device command queue. The queue is responsible for handling
submissions done via device.queue.submit() with the GPU commands as arguments.
This will atomically execute all the commands stored in the array in order.
// Encode commands for copying buffer to buffer.
const copyEncoder = device.createCommandEncoder();
copyEncoder.copyBufferToBuffer(gpuWriteBuffer, gpuReadBuffer);
// Submit copy commands.
const copyCommands = copyEncoder.finish();
device.queue.submit([copyCommands]);
At this point, GPU queue commands have been sent, but not necessarily executed.
To read the second GPU buffer, call gpuReadBuffer.mapAsync() with
GPUMapMode.READ. It returns a promise that will resolve when the GPU buffer is
mapped. Then get the mapped range with gpuReadBuffer.getMappedRange() that
contains the same values as the first GPU buffer once all queued GPU commands
have been executed.
// Read buffer.
await gpuReadBuffer.mapAsync(GPUMapMode.READ);
const copyArrayBuffer = gpuReadBuffer.getMappedRange();
console.log(new Uint8Array(copyArrayBuffer));
You can try out this sample.
In short, here's what you need to remember regarding buffer memory operations:
- GPU buffers have to be unmapped to be used in device queue submission.
- When mapped, GPU buffers can be read and written in JavaScript.
- GPU buffers are mapped when
mapAsync()andcreateBuffer()withmappedAtCreationset to true are called.
Shader programming
Programs running on the GPU that only perform computations (and don't draw triangles) are called compute shaders. They are executed in parallel by hundreds of GPU cores (which are smaller than CPU cores) that operate together to crunch data. Their input and output are buffers in WebGPU.
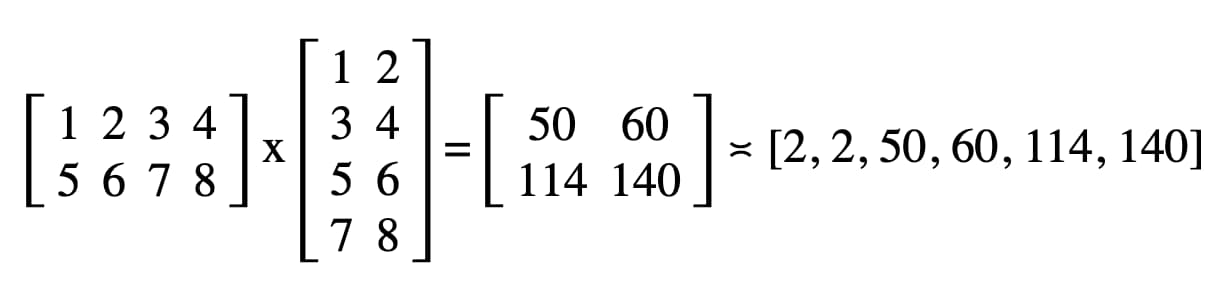
To illustrate the use of compute shaders in WebGPU, we'll play with matrix multiplication, a common algorithm in machine learning illustrated below.
In short, here's what we're going to do:
- Create three GPU buffers (two for the matrices to multiply and one for the result matrix)
- Describe input and output for the compute shader
- Compile the compute shader code
- Set up a compute pipeline
- Submit in batch the encoded commands to the GPU
- Read the result matrix GPU buffer
GPU Buffers creation
For the sake of simplicity, matrices will be represented as a list of floating point numbers. The first element is the number of rows, the second element the number of columns, and the rest is the actual numbers of the matrix.
The three GPU buffers are storage buffers as we need to store and retrieve data in
the compute shader. This explains why the GPU buffer usage flags include
GPUBufferUsage.STORAGE for all of them. The result matrix usage flag also has
GPUBufferUsage.COPY_SRC because it will be copied to another buffer for
reading once all GPU queue commands have all been executed.
const adapter = await navigator.gpu.requestAdapter();
if (!adapter) { return; }
const device = await adapter.requestDevice();
// First Matrix
const firstMatrix = new Float32Array([
2 /* rows */, 4 /* columns */,
1, 2, 3, 4,
5, 6, 7, 8
]);
const gpuBufferFirstMatrix = device.createBuffer({
mappedAtCreation: true,
size: firstMatrix.byteLength,
usage: GPUBufferUsage.STORAGE,
});
const arrayBufferFirstMatrix = gpuBufferFirstMatrix.getMappedRange();
new Float32Array(arrayBufferFirstMatrix).set(firstMatrix);
gpuBufferFirstMatrix.unmap();
// Second Matrix
const secondMatrix = new Float32Array([
4 /* rows */, 2 /* columns */,
1, 2,
3, 4,
5, 6,
7, 8
]);
const gpuBufferSecondMatrix = device.createBuffer({
mappedAtCreation: true,
size: secondMatrix.byteLength,
usage: GPUBufferUsage.STORAGE,
});
const arrayBufferSecondMatrix = gpuBufferSecondMatrix.getMappedRange();
new Float32Array(arrayBufferSecondMatrix).set(secondMatrix);
gpuBufferSecondMatrix.unmap();
// Result Matrix
const resultMatrixBufferSize = Float32Array.BYTES_PER_ELEMENT * (2 + firstMatrix[0] * secondMatrix[1]);
const resultMatrixBuffer = device.createBuffer({
size: resultMatrixBufferSize,
usage: GPUBufferUsage.STORAGE | GPUBufferUsage.COPY_SRC
});
Bind group layout and bind group
Concepts of bind group layout and bind group are specific to WebGPU. A bind group layout defines the input/output interface expected by a shader, while a bind group represents the actual input/output data for a shader.
In the example below, the bind group layout expects two readonly storage buffers at
numbered entry bindings 0, 1, and a storage buffer at 2 for the compute shader.
The bind group on the other hand, defined for this bind group layout, associates
GPU buffers to the entries: gpuBufferFirstMatrix to the binding 0,
gpuBufferSecondMatrix to the binding 1, and resultMatrixBuffer to the
binding 2.
const bindGroupLayout = device.createBindGroupLayout({
entries: [
{
binding: 0,
visibility: GPUShaderStage.COMPUTE,
buffer: {
type: "read-only-storage"
}
},
{
binding: 1,
visibility: GPUShaderStage.COMPUTE,
buffer: {
type: "read-only-storage"
}
},
{
binding: 2,
visibility: GPUShaderStage.COMPUTE,
buffer: {
type: "storage"
}
}
]
});
const bindGroup = device.createBindGroup({
layout: bindGroupLayout,
entries: [
{
binding: 0,
resource: gpuBufferFirstMatrix
},
{
binding: 1,
resource: gpuBufferSecondMatrix
},
{
binding: 2,
resource: resultMatrixBuffer
}
]
});
Compute shader code
The compute shader code for multiplying matrices is written in WGSL, the
WebGPU Shader Language, that is trivially translatable to SPIR-V. Without
going into detail, you should find below the three storage buffers identified
with var<storage>. The program will use firstMatrix and secondMatrix as
inputs and resultMatrix as its output.
Note that each storage buffer has a binding decoration used that corresponds to
the same index defined in bind group layouts and bind groups declared above.
const shaderModule = device.createShaderModule({
code: `
struct Matrix {
size : vec2f,
numbers: array<f32>,
}
@group(0) @binding(0) var<storage, read> firstMatrix : Matrix;
@group(0) @binding(1) var<storage, read> secondMatrix : Matrix;
@group(0) @binding(2) var<storage, read_write> resultMatrix : Matrix;
@compute @workgroup_size(8, 8)
fn main(@builtin(global_invocation_id) global_id : vec3u) {
// Guard against out-of-bounds work group sizes
if (global_id.x >= u32(firstMatrix.size.x) || global_id.y >= u32(secondMatrix.size.y)) {
return;
}
resultMatrix.size = vec2(firstMatrix.size.x, secondMatrix.size.y);
let resultCell = vec2(global_id.x, global_id.y);
var result = 0.0;
for (var i = 0u; i < u32(firstMatrix.size.y); i = i + 1u) {
let a = i + resultCell.x * u32(firstMatrix.size.y);
let b = resultCell.y + i * u32(secondMatrix.size.y);
result = result + firstMatrix.numbers[a] * secondMatrix.numbers[b];
}
let index = resultCell.y + resultCell.x * u32(secondMatrix.size.y);
resultMatrix.numbers[index] = result;
}
`
});
Pipeline setup
The compute pipeline is the object that actually describes the compute operation
we're going to perform. Create it by calling device.createComputePipeline().
It takes two arguments: the bind group layout we created earlier, and a compute
stage defining the entry point of our compute shader (the main WGSL function)
and the actual compute shader module created with device.createShaderModule().
const computePipeline = device.createComputePipeline({
layout: device.createPipelineLayout({
bindGroupLayouts: [bindGroupLayout]
}),
compute: {
module: shaderModule
}
});
Commands submission
After instantiating a bind group with our three GPU buffers and a compute pipeline with a bind group layout, it is time to use them.
Let's start a programmable compute pass encoder with
commandEncoder.beginComputePass(). We'll use this to encode GPU commands
that will perform the matrix multiplication. Set its pipeline with
passEncoder.setPipeline(computePipeline) and its bind group at index 0 with
passEncoder.setBindGroup(0, bindGroup). The index 0 corresponds to the
group(0) decoration in the WGSL code.
Now, let's talk about how this compute shader is going to run on the GPU. Our
goal is to execute this program in parallel for each cell of the result matrix,
step by step. For a result matrix of size 16 by 32 for instance, to encode
the command of execution, on a @workgroup_size(8, 8), we'd call
passEncoder.dispatchWorkgroups(2, 4) or passEncoder.dispatchWorkgroups(16 / 8, 32 / 8).
The first argument "x" is the first dimension, the second one "y" is the second dimension,
and the latest one "z" is the third dimension that defaults to 1 as we don't need it here.
In the GPU compute world, encoding a command to execute a kernel function on a set of data is called dispatching.
The size of the workgroup grid for our compute shader is (8, 8) in our WGSL
code. Because of that, "x" and "y" that are respectively the number of rows of
the first matrix and the number of columns of the second matrix will be divided
by 8. With that, we can now dispatch a compute call with
passEncoder.dispatchWorkgroups(firstMatrix[0] / 8, secondMatrix[1] / 8). The
number of workgroup grids to run are the dispatchWorkgroups() arguments.
As seen in the drawing above, each shader will have access to a unique
builtin(global_invocation_id) object that will be used to know which result
matrix cell to compute.
const commandEncoder = device.createCommandEncoder();
const passEncoder = commandEncoder.beginComputePass();
passEncoder.setPipeline(computePipeline);
passEncoder.setBindGroup(0, bindGroup);
const workgroupCountX = Math.ceil(firstMatrix[0] / 8);
const workgroupCountY = Math.ceil(secondMatrix[1] / 8);
passEncoder.dispatchWorkgroups(workgroupCountX, workgroupCountY);
passEncoder.end();
To end the compute pass encoder, call passEncoder.end(). Then, create a
GPU buffer to use as a destination to copy the result matrix buffer with
copyBufferToBuffer. Finally, finish encoding commands with
copyEncoder.finish() and submit those to the GPU device queue by calling
device.queue.submit() with the GPU commands.
// Get a GPU buffer for reading in an unmapped state.
const gpuReadBuffer = device.createBuffer({
size: resultMatrixBufferSize,
usage: GPUBufferUsage.COPY_DST | GPUBufferUsage.MAP_READ
});
// Encode commands for copying buffer to buffer.
commandEncoder.copyBufferToBuffer(resultMatrixBuffer, gpuReadBuffer);
// Submit GPU commands.
const gpuCommands = commandEncoder.finish();
device.queue.submit([gpuCommands]);
Read result matrix
Reading the result matrix is as easy as calling gpuReadBuffer.mapAsync() with
GPUMapMode.READ and waiting for the returning promise to resolve which indicates
the GPU buffer is now mapped. At this point, it is possible to get the mapped
range with gpuReadBuffer.getMappedRange().
In our code, the result logged in DevTools JavaScript console is "2, 2, 50, 60, 114, 140".
// Read buffer.
await gpuReadBuffer.mapAsync(GPUMapMode.READ);
const arrayBuffer = gpuReadBuffer.getMappedRange();
console.log(new Float32Array(arrayBuffer));
Congratulations! You made it. You can play with the sample.
One last trick
One way of making your code easier to read is to use the handy
getBindGroupLayout method of the compute pipeline to infer the bind group
layout from the shader module. This trick removes the need from creating a
custom bind group layout and specifying a pipeline layout in your compute
pipeline as you can see below.
An illustration of getBindGroupLayout for the previous sample is available.
const computePipeline = device.createComputePipeline({
- layout: device.createPipelineLayout({
- bindGroupLayouts: [bindGroupLayout]
- }),
compute: {
-// Bind group layout and bind group
- const bindGroupLayout = device.createBindGroupLayout({
- entries: [
- {
- binding: 0,
- visibility: GPUShaderStage.COMPUTE,
- buffer: {
- type: "read-only-storage"
- }
- },
- {
- binding: 1,
- visibility: GPUShaderStage.COMPUTE,
- buffer: {
- type: "read-only-storage"
- }
- },
- {
- binding: 2,
- visibility: GPUShaderStage.COMPUTE,
- buffer: {
- type: "storage"
- }
- }
- ]
- });
+// Bind group
const bindGroup = device.createBindGroup({
- layout: bindGroupLayout,
+ layout: computePipeline.getBindGroupLayout(0 /* index */),
entries: [
Performance findings
So how does running matrix multiplication on a GPU compare to running it on a CPU? To find out, I wrote the program just described for a CPU. And as you can see in the graph below, using the full power of GPU seems like an obvious choice when the size of the matrices is greater than 256 by 256.
This article was just the beginning of my journey exploring WebGPU. Expect more articles soon featuring more deep dives in GPU Compute and on how rendering (canvas, texture, sampler) works in WebGPU.